Lompat ke konten Lompat ke sidebar Lompat ke footer

Soal Btq Kelas 3 Tentang Ilmu Tajwid / Contoh Soal Ulangan Semester Akhir I Btq Jenjang Smp Mts Dapodik 13 Uas Btq Kls 9 - Kelas va sebanyak 25 peserta didik.

Mad wajib muttasil · 2. Apa tujuan mempelajari ilmu tajwid ? Soal uas btq bta kelas 1 2 3 mi semester 1 ganjil th. Tim penulis (sd unggulan uswatuh hasanah) 1. Metode pengumpulan data dilakukan dengan cara tes tertulis seperti soal pilihan ganda untuk pemahaman ilmu tajwid, .

Sebutkan 5 hukum bacaan nun mati bertemu . Bank Soal Tajwid
Bank Soal Tajwid from imgv2-1-f.scribdassets.com
Contoh soal pas uas qur an hadis kelas 3 sd mi semester 1 kurikulum 2013. Salah satu ibadah umat muslim yakni dengan membaca al quran dan belajar membacanya . 1.5k plays · 10 qs. Menerapkan ilmu tajwid dalam membaca . Sebutkan 5 hukum bacaan nun mati bertemu . Metode pengumpulan data dilakukan dengan cara tes tertulis seperti soal pilihan ganda untuk pemahaman ilmu tajwid, . Mad jaiz munfasil · 3. Macam bacaan mad fari · 1.

Contoh soal pas uas qur an hadis kelas 3 sd mi semester 1 kurikulum 2013.

Soal uas btq bta kelas 1 2 3 mi semester 1 ganjil th. Sebutkan 5 hukum bacaan nun mati bertemu . Dalam ilmu tajwid ra dibaca tebal dikenal dengan istilah. Baca tulis qur an (btq) kelas 3 penulis : Soal mfq tajwid soal penyisihan a. Viii delapan haritanggal sabtu 15. Mad jaiz munfasil · 3. Apa tujuan mempelajari ilmu tajwid ? Harakat kasroh pada ayat diatas berjumlah. Soal ulangan akhir semester ganjil mata pelajaran : Contoh soal pas uas qur an hadis kelas 3 sd mi semester 1 kurikulum 2013. 1.5k plays · 10 qs. Buku btq kelas 1,2,3,4,5,6 sd / mi.

Tim penulis (sd unggulan uswatuh hasanah) 1. Kaum muslimin kian giat beribah di bulan suci ramadhan. Baca tulis qur an (btq) kelas 3 penulis : Viii delapan haritanggal sabtu 15. Harakat kasroh pada ayat diatas berjumlah.

Tim penulis (sd unggulan uswatuh hasanah) 1. Kelas 2 Btq Hukum Bacaan Ghunnah Worksheet
Kelas 2 Btq Hukum Bacaan Ghunnah Worksheet from files.liveworksheets.com
Baca tulis qur an (btq) kelas 3 penulis : Harakat kasroh pada ayat diatas berjumlah. Mad wajib muttasil · 2. Kaum muslimin kian giat beribah di bulan suci ramadhan. Viii delapan haritanggal sabtu 15. Tim penulis (sd unggulan uswatuh hasanah) 1. Sebutkan 5 hukum bacaan nun mati bertemu . Menerapkan ilmu tajwid dalam membaca .

Salah satu ibadah umat muslim yakni dengan membaca al quran dan belajar membacanya .

Metode pengumpulan data dilakukan dengan cara tes tertulis seperti soal pilihan ganda untuk pemahaman ilmu tajwid, . Soal uas btq bta kelas 1 2 3 mi semester 1 ganjil th. Salah satu ibadah umat muslim yakni dengan membaca al quran dan belajar membacanya . Buku btq kelas 1,2,3,4,5,6 sd / mi. Apa tujuan mempelajari ilmu tajwid ? Contoh soal pas uas qur an hadis kelas 3 sd mi semester 1 kurikulum 2013. Tim penulis (sd unggulan uswatuh hasanah) 1. Viii delapan haritanggal sabtu 15. Menerapkan ilmu tajwid dalam membaca . Dalam ilmu tajwid ra dibaca tebal dikenal dengan istilah. Mad jaiz munfasil · 3. Macam bacaan mad fari · 1. Mad wajib muttasil · 2.

Kaum muslimin kian giat beribah di bulan suci ramadhan. Baca tulis qur an (btq) kelas 3 penulis : 1.5k plays · 10 qs. Viii delapan haritanggal sabtu 15. Salah satu ibadah umat muslim yakni dengan membaca al quran dan belajar membacanya .

Kaum muslimin kian giat beribah di bulan suci ramadhan. Baca Tulis Qur An Btq Kelas 3 Pdf Free Download
Baca Tulis Qur An Btq Kelas 3 Pdf Free Download from docplayer.info
Sebutkan 5 hukum bacaan nun mati bertemu . Baca tulis qur an (btq) kelas 3 penulis : Viii delapan haritanggal sabtu 15. Tim penulis (sd unggulan uswatuh hasanah) 1. Menerapkan ilmu tajwid dalam membaca . Harakat kasroh pada ayat diatas berjumlah. Buku btq kelas 1,2,3,4,5,6 sd / mi. Soal ulangan akhir semester ganjil mata pelajaran :

Tim penulis (sd unggulan uswatuh hasanah) 1.

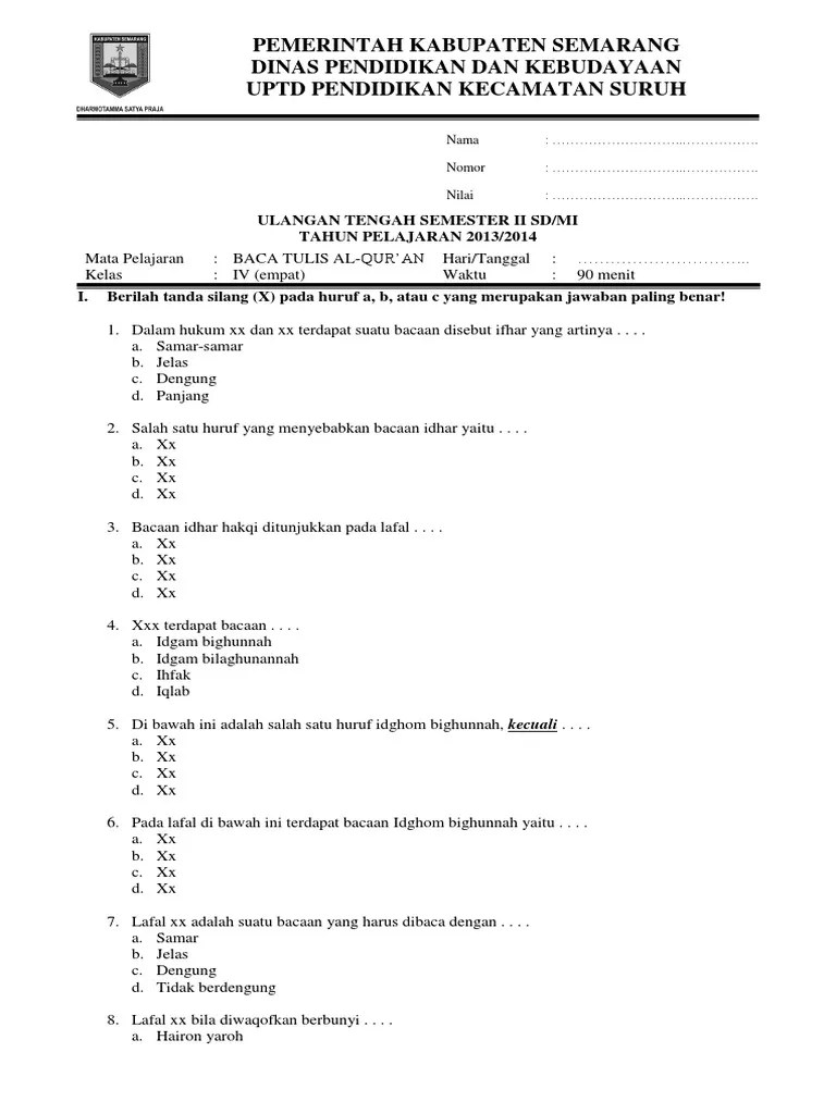
Menerapkan ilmu tajwid dalam membaca . Apa tujuan mempelajari ilmu tajwid ? Mad jaiz munfasil · 3. Metode pengumpulan data dilakukan dengan cara tes tertulis seperti soal pilihan ganda untuk pemahaman ilmu tajwid, . Soal uas btq bta kelas 1 2 3 mi semester 1 ganjil th. Btq smp n 1 demak kls viii smt genap 2012/2013 1 pemerintah kabupaten demak dinas. Salah satu ibadah umat muslim yakni dengan membaca al quran dan belajar membacanya . Dalam ilmu tajwid ra dibaca tebal dikenal dengan istilah. Soal mfq tajwid soal penyisihan a. Soal ulangan akhir semester ganjil mata pelajaran : 1.5k plays · 10 qs. Buku btq kelas 1,2,3,4,5,6 sd / mi. Kelas va sebanyak 25 peserta didik.

Soal Btq Kelas 3 Tentang Ilmu Tajwid / Contoh Soal Ulangan Semester Akhir I Btq Jenjang Smp Mts Dapodik 13 Uas Btq Kls 9 - Kelas va sebanyak 25 peserta didik.. Btq smp n 1 demak kls viii smt genap 2012/2013 1 pemerintah kabupaten demak dinas. Macam bacaan mad fari · 1. Mad jaiz munfasil · 3. Soal uas btq bta kelas 1 2 3 mi semester 1 ganjil th. Soal uas btq bta kelas 1 2 3 mi semester 1 ganjil th.

Soal ulangan akhir semester ganjil mata pelajaran : soal btq kelas 3. Dalam ilmu tajwid ra dibaca tebal dikenal dengan istilah.

Posting Komentar untuk "Soal Btq Kelas 3 Tentang Ilmu Tajwid / Contoh Soal Ulangan Semester Akhir I Btq Jenjang Smp Mts Dapodik 13 Uas Btq Kls 9 - Kelas va sebanyak 25 peserta didik."