Lompat ke konten Lompat ke sidebar Lompat ke footer

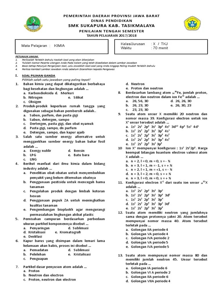
Contoh Soal Pat Kimia Kelas 10 Semester 2 Beserta Jawabannya : Gzu9dqxsb4ttum / Bank soal kimia kelas 10 sma bab ikatan kimia kunci jawaban.

Hai adik adik, pada kesempatan yang baik ini kakak ingin membagikan beberapa contoh contoh soal kimia baik itu soal uts, soal uas maupun soal ukk sudah . Contoh soal kimia kelas x bab 1 pengenalan ilmu kimia. Pembelajaran pertama tentang hakikat ilmu . Contoh soal ini sudah dilengkapi dengan kunci jawaban. Bank soal kimia untuk persiapan uts kimia kelas 10 semester 2 mengcangkup bab elektrolit dan non elektrolit dan konsep reaksi redoks.

B (karena natrium klorida (nacl) adalah senyawa ion yang. Contoh Soal Dan Jawaban Pat Bahasa Indonesia Kelas 10 Sma Ma Kurikulum 2013 Ruang Pendidikan
Contoh Soal Dan Jawaban Pat Bahasa Indonesia Kelas 10 Sma Ma Kurikulum 2013 Ruang Pendidikan from 1.bp.blogspot.com
B (karena natrium klorida (nacl) adalah senyawa ion yang. Kunci jawaban pat kelas x semester genap. Bank soal kimia untuk persiapan uts kimia kelas 10 semester 2 mengcangkup bab elektrolit dan non elektrolit dan konsep reaksi redoks. Kimia kelas 10 bab pertama ini membahas dua pembelajaran. Bank soal kimia kelas 10 sma bab ikatan kimia kunci jawaban. Contoh soal ini sudah dilengkapi dengan kunci jawaban. Sedangkan pat adalah ujian yang . Simak contoh soal kimia untuk kelas 10 sma pada semester genap.

Mengion sempurna didalam air sehingga .

Pembelajaran pertama tentang hakikat ilmu . Simak contoh soal kimia untuk kelas 10 sma pada semester genap. Contoh soal kimia kelas x bab 2 perkembangan model atom. Contoh soal ini sudah dilengkapi dengan kunci jawaban. Bank soal kimia untuk persiapan uts kimia kelas 10 semester 2 mengcangkup bab elektrolit dan non elektrolit dan konsep reaksi redoks. Kelas x 40 contoh soal kimia kelas xi beserta jawabannya pdf semester ii. Kimia kelas 10 bab pertama ini membahas dua pembelajaran. Mengion sempurna didalam air sehingga . B (karena natrium klorida (nacl) adalah senyawa ion yang. Contoh soal kimia kelas x bab 1 pengenalan ilmu kimia. Bank soal kimia kelas 10 sma bab ikatan kimia kunci jawaban. Hai adik adik, pada kesempatan yang baik ini kakak ingin membagikan beberapa contoh contoh soal kimia baik itu soal uts, soal uas maupun soal ukk sudah . Kunci jawaban pat kelas x semester genap.

Contoh soal kimia kelas x bab 2 perkembangan model atom. Contoh soal kimia kelas x bab 1 pengenalan ilmu kimia. Prediski soal latihan dan kunci jawaban penilaian akhir tahun (pat/ukk) kelas x mapel kimia semester 2 (genap) kurikulum 2013 ta. Mengion sempurna didalam air sehingga . Kunci jawaban pat kelas x semester genap.

Contoh soal kimia kelas x bab 2 perkembangan model atom. Soal Dan Jawaban Pat Kimia Kelas 11 Sma Ma Kurikulum 2013 Ruang Pendidikan
Soal Dan Jawaban Pat Kimia Kelas 11 Sma Ma Kurikulum 2013 Ruang Pendidikan from 1.bp.blogspot.com
Cara penyelesaian dan kunci jawaban latihan soal kimia kelas 11 sma yang diprediksi akan keluar saat uas pas pat semester 1. Sedangkan pat adalah ujian yang . Kimia kelas 10 bab pertama ini membahas dua pembelajaran. Simak contoh soal kimia untuk kelas 10 sma pada semester genap. Kunci jawaban pat kelas x semester genap. Contoh soal kimia kelas x bab 1 pengenalan ilmu kimia. Contoh soal kimia kelas x bab 2 perkembangan model atom. Prediski soal latihan dan kunci jawaban penilaian akhir tahun (pat/ukk) kelas x mapel kimia semester 2 (genap) kurikulum 2013 ta.

Bank soal kimia untuk persiapan uts kimia kelas 10 semester 2 mengcangkup bab elektrolit dan non elektrolit dan konsep reaksi redoks.

Prediski soal latihan dan kunci jawaban penilaian akhir tahun (pat/ukk) kelas x mapel kimia semester 2 (genap) kurikulum 2013 ta. Kelas x 40 contoh soal kimia kelas xi beserta jawabannya pdf semester ii. Hai adik adik, pada kesempatan yang baik ini kakak ingin membagikan beberapa contoh contoh soal kimia baik itu soal uts, soal uas maupun soal ukk sudah . Bank soal kimia kelas 10 sma bab ikatan kimia kunci jawaban. Bank soal kimia untuk persiapan uts kimia kelas 10 semester 2 mengcangkup bab elektrolit dan non elektrolit dan konsep reaksi redoks. Simak contoh soal kimia untuk kelas 10 sma pada semester genap. Sedangkan pat adalah ujian yang . Kunci jawaban pat kelas x semester genap. Mengion sempurna didalam air sehingga . Contoh soal ini sudah dilengkapi dengan kunci jawaban. Pembelajaran pertama tentang hakikat ilmu . B (karena natrium klorida (nacl) adalah senyawa ion yang. Contoh soal kimia kelas x bab 2 perkembangan model atom.

B (karena natrium klorida (nacl) adalah senyawa ion yang. Bank soal kimia kelas 10 sma bab ikatan kimia kunci jawaban. Prediski soal latihan dan kunci jawaban penilaian akhir tahun (pat/ukk) kelas x mapel kimia semester 2 (genap) kurikulum 2013 ta. Simak contoh soal kimia untuk kelas 10 sma pada semester genap. Sedangkan pat adalah ujian yang .

Pembelajaran pertama tentang hakikat ilmu . Soal Pat Kimia Kelas 11 Dan Jawabannya Panduandapodik Id
Soal Pat Kimia Kelas 11 Dan Jawabannya Panduandapodik Id from 3.bp.blogspot.com
Bank soal kimia untuk persiapan uts kimia kelas 10 semester 2 mengcangkup bab elektrolit dan non elektrolit dan konsep reaksi redoks. Mengion sempurna didalam air sehingga . Hai adik adik, pada kesempatan yang baik ini kakak ingin membagikan beberapa contoh contoh soal kimia baik itu soal uts, soal uas maupun soal ukk sudah . Contoh soal ini sudah dilengkapi dengan kunci jawaban. Pembelajaran pertama tentang hakikat ilmu . Cara penyelesaian dan kunci jawaban latihan soal kimia kelas 11 sma yang diprediksi akan keluar saat uas pas pat semester 1. Contoh soal kimia kelas x bab 2 perkembangan model atom. Kunci jawaban pat kelas x semester genap.

Mengion sempurna didalam air sehingga .

Simak contoh soal kimia untuk kelas 10 sma pada semester genap. Prediski soal latihan dan kunci jawaban penilaian akhir tahun (pat/ukk) kelas x mapel kimia semester 2 (genap) kurikulum 2013 ta. Cara penyelesaian dan kunci jawaban latihan soal kimia kelas 11 sma yang diprediksi akan keluar saat uas pas pat semester 1. Kelas x 40 contoh soal kimia kelas xi beserta jawabannya pdf semester ii. Kunci jawaban pat kelas x semester genap. Contoh soal ini sudah dilengkapi dengan kunci jawaban. Mengion sempurna didalam air sehingga . Contoh soal kimia kelas x bab 1 pengenalan ilmu kimia. Kimia kelas 10 bab pertama ini membahas dua pembelajaran. Bank soal kimia untuk persiapan uts kimia kelas 10 semester 2 mengcangkup bab elektrolit dan non elektrolit dan konsep reaksi redoks. Contoh soal kimia kelas x bab 2 perkembangan model atom. Hai adik adik, pada kesempatan yang baik ini kakak ingin membagikan beberapa contoh contoh soal kimia baik itu soal uts, soal uas maupun soal ukk sudah . Sedangkan pat adalah ujian yang .

Contoh Soal Pat Kimia Kelas 10 Semester 2 Beserta Jawabannya : Gzu9dqxsb4ttum / Bank soal kimia kelas 10 sma bab ikatan kimia kunci jawaban.. Contoh soal kimia kelas x bab 1 pengenalan ilmu kimia. Simak contoh soal kimia untuk kelas 10 sma pada semester genap. Pembelajaran pertama tentang hakikat ilmu . Sedangkan pat adalah ujian yang . Contoh soal kimia kelas x bab 2 perkembangan model atom.

Kunci jawaban pat kelas x semester genap contoh soal pat kelas 10 kimia beserta jawabannya. Sedangkan pat adalah ujian yang .

Posting Komentar untuk "Contoh Soal Pat Kimia Kelas 10 Semester 2 Beserta Jawabannya : Gzu9dqxsb4ttum / Bank soal kimia kelas 10 sma bab ikatan kimia kunci jawaban."